2014-03-23[n年前へ]
■「佐村河内守の(顔を描き出す)方程式」を作ってみよう!? 
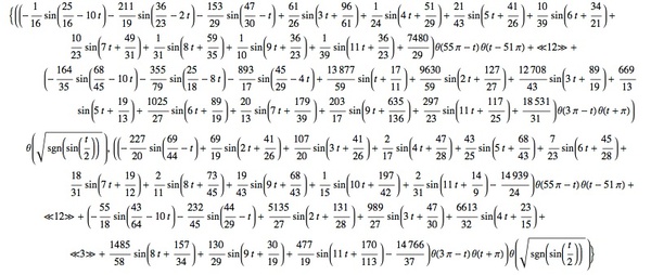
「佐村河内守の(顔を描き出す)方程式」を作ってみよう!?を書きました。
佐村河内守氏の顔を描く方程式を作ってみることにしました。つまり、「初音ミクやアラレちゃんを描く曲線」を作るテクニックの秘密で解説した「フーリエ記述子」という技法を使って、佐村河内守氏の顔を描き出してみることにしました。

で、こっちが新垣氏をフーリエ記述子分解した「新垣 方程式」 少しトレバーホーンが入ってる。彼が作曲した名曲のひとつがバブルスの「トリックスターの悲劇」であり、大衆受けがちなキャッチーなメロディーでありつつクラシックの趣向を感じさせるプレグレッシブロック派にも浸透した名曲のひとつである(ウソ)。
浪速のモーツアルト、キダタロー方程式も作ってみたのだけれど、どうにも頭部が…じゃなかった顔が変になってしまった。
■Powered
by yagm.net