hirax.net::inside out::2012年08月

最新記事(inside out)へ  |   年と月を指定して記事を読む(クリック!)

2012年7月 を読む << 2012年8月 を読む >> 2012年9月 を読む

2012-08-02[n年前へ]

数学ソフトウェア Geo Gebra でハロー・オッパイ! 

 数学ソフトウェア GeoGebra説明)がなかなか面白そうなので(参考:Fallen Physicist, Rising Engineer)、夏の自由研究がてら、少し使い始めました。

 どんな言語を使うときも、一番始めに書くべきコードは、Hello World! それはイコール「こんにちは赤ちゃん、私がママよ」という声に導かれ・この世に生まれ来る赤ちゃんが目にする景色、つまりは、(いつものように)ハロー・オッパイ!です。…というわけで、下に貼り付けたのは、「(各微小領域における)バスト重みと肌の張力が形作るオッパイ曲線」です。

 「水風船バストモデル」における内部の水には重力がかかり、バストの下の方にいくほど圧力がかかっている。そして、皮膚に面している内部の水はその圧力を皮膚に伝える。そして、皮膚はその圧力で変形しながら水で満ちたバストを支えるのである。

オッパイ星人の力学 第四回〜バスト曲線方程式 編

 この動画は、オッパイの表面(境界)の各部分にかかる力を元に、張力を計算し、張力を曲率に(テキトーに)換算を行った上で、曲率=2階微分値を2階積分した結果をGeo Gebra でインタラクティブに図示した図を(大雑把に言えば)、パラメータを適当に動かすことでアニメーションにする…という具合で作られています。

 使った数式は、下のようになります。あなたも、自分好みのHello World!ならぬハロー・オッパイを作り出してみるのは、いかがでしょうか?


 左でスライダーを使ってパラメータ設定をしている部分は、きっと望ましくは(スライダーで調整するのではなく)「バストのX=0すなわち根元における傾き」を直線で表現し・その直線を動かし・調整する、という方が自然なのかもしれませんね。

数学ソフトウェア Geo Gebra でハロー・オッパイ!






2012-08-05[n年前へ]

「AKB 48 を観る(自分の)視線」を追跡してみよう!? 

 「(予算6千円ナリで作り始めた)視線(&視界)追跡メガネ」で AKB48のメンバー写真を眺めてみました。つまりは、AKB 48 を観る(自分の)視線を追跡してみた、というわけです。一体、メンバの誰が一番気になっているんだろう?という疑問を、視線追跡をすることで単純明快に調べてみようと思ったのです。

 瞳を撮影しているビデオカメラから視線方向を解析するために使ったのはITU Gaze Trackerです。Windowsマシンであれば、(瞳を撮影する)USBカメラを繋ぐだけで使うことができる、という優れものです。

 視線追跡をした結果は、下の画像のようになりました。集合写真のレイアウトに沿って視線が動いていて、ちょうど視線はメンバをもれなく順々に/繰り返し眺めたという具合で、誰か1人に視線が集中しているという風にはなりませんでした。

 もしかしたら、「気になっているAKBメンバを隠そう」という心がどこかにあって、無意識に視線の動きを自制していたりしたかもしれません。…というわけで、今度は「動画」に対する視線追跡でもしてみることにしましょうか。

「AKB 48 を観る(自分の)視線」を追跡してみよう!?






2012-08-06[n年前へ]

Macbook Air 2011内蔵SSD を外付けドライブにするSATA配線図 

 (たぶん、こういう感じなんだろうという)Macbook Air 2011内蔵SSD の SATA配線図を、(以前調べた配線図をベースにして)SSD基板を拡大鏡で眺めつつ、少し丁寧に描いてみました。それが下の図面です。

 というわけで、SSDが刺さるコネクタを用意して、この配線図に沿ってMacBook Air 2011の内蔵SSDを外部接続SATAドライブに改造してみようと思います。そして、さらにUSB-SATA変換アダプタでも使って、内蔵SSDを外部USBドライブに改造してみたいと思います。

Macbook Air 2011内蔵SSD の SATA配線図






2012-08-07[n年前へ]

「プールの中を横から眺める秘密の小部屋」と「水面ギリギリ映像を合成する技術」  

 「プールの中を横から眺める秘密の小部屋」と「水面ギリギリ映像を合成する技術」 を書きました。

 プールの水中の景色は、普通、水中カメラを通してしか眺めることができない…と思われるかもしれません。 しかし、実は、こうした(たとえばシンクロナイズドスイミングのような)競技が行われるようなプールでは、水中カメラを通さずとも水中の景色・選手の水中パフォーマンスをクッキリハッキリ眺めることができるのです。 なぜかというと、プール壁面に透明板が埋め込まれ・その透明板を隔てて隣接する小部屋があって、その部屋からプールを眺めると、まるで水族館の水槽のように水中のようすを見ることができるのです。

2012-08-08[n年前へ]

時間で計られた報酬を貰うのは「サラリーマン」とは言いません!? 

 「サラリー(salary)」とは「行った仕事に支払われる報酬」で(仕事をするのに)かけた時間に対し支払われるものでなく、「作業時間に対して支払われる報酬」は「ウェイジ(wage)」だと言われます。

 だとすれば、「人月」という単位でお金が流れる場所にいる状況は、きっとサラリーマンではないのでしょう。もしも時間で報酬が計られるなら、それは(サラリーでなく)ウェイジ・マン…なのかもしれません。

 大正時代、サラリーマンという和製英語が言葉が生まれた時代には、「サラリーマン」は確かに(時間でなく仕事量で量られる)サラリー(salary)を手に入れる人(man)でした。大戦を経て、 昭和に入り…いくつもの変化を経た後、時間給(wage)を手にする人も(元々の意味から外れて)「サラリーマン」と呼ばれるようになったのです。

 「サラリーマン」という和製英語が使われはじめたのは大正時代の半ば。工員や店員などと区別された職員(月給取り・ホワイトカラー)で、旧制中学校などの中等教育以上の学歴の者たちの職業だった。

サラリーマン誕生物語

 21世紀の日本から、サラリーマンと呼ばれる(けれど、ある意味では実はウェイジマンな)プログラマが、大正時代にタイムトリップしたとしたら…一体どんなことを考えるのでしょうか?

 サラリーマンという言葉が誕生した大正時代から、その「報酬体系」は時代を反映して色々な変化がありました。そんな時代背景や変化を眺めてみると、ちょっと興味深いと思います。

2012-08-09[n年前へ]

「ジェンダー・チェンジャー」と書いて「オス・メス変換器」と読む 

 ジェンダー・チェンジャー…英語で「性転換器と書くと、んっ!?とビックリしますが、つまりはオス・メス変換器です

 オスとオス、あるいは、メスとメスを「接続」するために使われるこのジェンダー・チェンジャー…「内部はストレート全結線」とパッケージに書いてありますが、それは果たして本当にストレートなノンケなのだろうか?……と悩んだり、あるいは一体全体ストレートと言われても、オス×メスなのかメス×オスなのか?と腐女子的にカップリング問題について考えてしまったりします(そんなわけない)。


 ところで、写真を撮ったこの「ジェンダー・チェンジャ」は、果たして本当に性転換器なのか?いや違うんじゃないか?という話も出ています。

 これだと、ジェンダー・チェンジしてないのでは?

‏@cozykaz
 「確かに!」と思いつつ、パッケージを裏返してみると、このジェンダー・チェンジャーは「オス・メス変換」をしてません。…だとすると、これは(「性転換器」でない)一体どういう名前で呼ぶべきものなのでしょうか?

‏@hirax

「ジェンダー・チェンジャー」と書いて「オス・メス変換器」と読む






2012-08-10[n年前へ]

虹色から金色まで…七変化する忍者シャボン玉!? 

 100円ショップのセリアで、「色が変わる 超連続 忍者シャボン玉」というものを買いました。パッケージには、(シャボン玉を吹くと)「虹色→青色→赤色→金色」に次々と色が変わっていくと書いてあります。

 部屋に戻り、喜び勇んで袋を開けてみると、見た感じはいたって普通のシャボン玉です。シャボン液がほんの少し(平均的なシャボン液と比べると)粘度が高いかな…と思わなくもないですが、特に何も変わったところは見受けられません。

 そして、シャボン玉を吹いてみると…やっぱり普通のシャボン液です。普通のシャボン玉が、シャボン玉を吹くに連れてシャボン膜の厚みが変化し・色合いが変わって見えるのと同じように、この「色が変わる 超連続 忍者シャボン玉」も色を変えていきます。…つまりは、忍者の七変化は…意外に普通のものだったのです。

 シャボン玉を吹いて、目の前に量産されていくシャボン玉の色を観察してみると、「7色→青色→黄色→透明」というように変わっていくように見えます。つまりは、最初はシャボン玉の膜厚に場所ムラがあって、場所毎に(シャボン膜の厚みに応じた)光の干渉による色づきがバラバラで7色に見え、そして、(吹き筒の先のシャボン液が減るにつれ)シャボン膜の膜厚が1ミクロンを下回っていき、たとえば青色が光干渉で消えるような膜厚になり「黄色」に見え、最後には可視光の1/2波長以下の膜厚になって透明に見える、という感じに見えます。

 「色が変わる忍者シャボン玉」…いたって普通のシャボン玉でした。しかし、この「色が変わる忍者シャボン玉」を買ったおかげで、シャボン玉の色変化を眺めつつ・どんな厚みのシャボン玉が・どんな風にできあがっているのだろう?と考えながら、「シャボン液の色」をいつもよりずっと真剣に眺め・楽しむことができました。

虹色から金色まで…七変化する忍者シャボン玉!?






2012-08-11[n年前へ]

「禁断の赤外線カメラ」を「自分の部屋」の中で使ってみよう!? 

 iPhone 4のフェース・カメラ(液晶ディスプレイ側にあるカメラ)には赤外線カットフィルタが付けられていません。そのため、フェース・カメラのレンズ前面に可視光カット・赤外線透過フィルタを取り付けると、iPhone 4が赤外線カメラに変身します。

 フェース・カメラは使うことがほとんどないで、(普通の)可視光撮影は背面カメラで行うことにして、フェースカメラは赤外線撮影専用カメラにしてしまっています。カメラの裏表を切り替えるだけで、可視光と赤外線の2バンドを自由に切り替え撮影することができる、というわけです。

 しかし、夏真っ盛りなこの時期、炎天下の下で「赤外線カメラ」を街中に向けるのは、少し躊躇してしまいます。(参考:透け透け水着の物理学 ~iPhone4で「裏」ワザ 編

 …可視光では不透明な黒シャツも、可視光で見れば(ほぼ)透明です。

透け透け水着の物理学 ~iPhone4で「裏」ワザ 編

 というわけで、「赤外線カメラ」に変身中のiPhone4のフェースカメラで、自分の部屋の中を撮影してみることにしました。つまり、「自分の部屋の中にあるものを、赤外線で眺めてみよう!」というわけです。

 まずは、キッチンに行き、赤外線を発していそうなものを(赤外線のキモチになって)物色し、何より赤外線を出しまくりそうな「(パンを焼く)トースター」を赤外線撮影してみました。それが下の写真です。左側が「可視光で眺めたトースター」で、右が「赤外線で眺めたトースター」です。赤外線で眺めると、うす暗いキッチンの中でパンを焼くトースターだけが光り輝いています

 

 自分の部屋の中を赤外線の眼で眺めてみると、どんな景色が見えるのでしょうか?トースター・TVやエアコンの赤外線リモコン…赤外線で眺めると、何か意外なものが奇妙な存在感を発していたりしないものでしょうか。

「禁断の赤外線カメラ」を「自分の部屋」の中で使ってみよう!?「禁断の赤外線カメラ」を「自分の部屋」の中で使ってみよう!?






2012-08-14[n年前へ]

「自転車を漕ぐ」と涼しくなる?それとも暑くなる!? 

 真夏日が続くと、体にまとわりつく暑さを吹き飛ばしすやり方を知りたくなります。そこで「うちわの効果を検証 体温は涼風で低下か、それともあおぐ労力で上昇か」という記事を読みました。

 暑い日にうちわで風を送ることに意味はあるのか。結局、あおぐことで体温が上昇するだけではないのか。
 …人間が生産するエネルギーは約100ワットだ。うちわをあおげば、約1ワットがこれに加わるかもしれないが、体の周辺の空気の速度が大幅に増すことで、ヒートロスは倍増し得る。1%の努力で、2倍の涼しさを得られる可能性があるのだ。

うちわの効果を検証 体温は涼風で低下か、それともあおぐ労力で上昇か
 皮膚の周りの空気が(汗が蒸発できるくらい)湿度が低かったり、あるいは、体温よりも温度が低ければ、ほんの少しの風が吹くだけで少し心地良く涼しくなることってあるよなぁと思いつつ、(真夏日に自転車を漕ぎながら)「自転車を漕ぐ」と涼しくなるか?それとも暑くなるか…というパズルを考えたくなりました。

 自転車を漕ぎ始めると、体に風が吹き付けてきて、そして涼しくなります。ほんの少し速度を上げると、体を冷やす風速も増して、もっと涼しくなります。

 それでは、さらに自転車を速く漕いでいけば、もっともっと涼しくなるものでしょうか?…残念ながら、そういうわけにはいきそうにありません。

 自転車を漕ぐとき、速度が遅くないのなら、自転車を漕ぐエネルギーはほとんど空気抵抗に抗(あらが)うために使われます。自転車で走る速度(と体のサイズ)を考えると、レイノルズ数は十分に大きく体の周りには乱流が発生し・空気抵抗係数は一定になります。その結果、空気抵抗は速度の2乗に比例します。(レイノルズ数が小さければ、空気抵抗係数は速度に反比例するため、空気抵抗は速度の1乗に比例します)

 空気抵抗が速度の2乗に比例するということは、空気抵抗を受けながら自転車を漕ぐのに使われる仕事率(時間あたりに使われるエネルギー)は速度の3乗に比例することになります。つまり、自転車を走らせる速度の3乗に比例する「熱」が(自転車を漕ぐ)体の中で発生することになります。

 次は、その熱を発する体を冷やす「放熱」について考えてみます。汗の影響を考えない場合、そして体温より気温が低い場合、体から周りの空気への放熱量は体温と気温の温度差に比例します。その比例係数は、速度(レイノルズ数)のn乗に比例する関数になりますが、nは大きくても1未満です(体と接することができる空気は、乱流が発生しないという最大限の場合でも、速度の1乗に比例しますから)。つまり、放熱量は速度の0.△乗に比例する程度の量になります。

 汗の影響、つまり汗が気化することで皮膚から奪う熱量も、その熱量の上限は(湿度が高くて汗が気化しないということがない限りは)汗が気化する先である「皮膚に接する空気の体積」に比例しますから、汗の影響も速度(レイノルズ数)のn乗に比例します。結局のところ、汗の影響を考えたとしても、放熱量は速度の0.△乗に比例する量になるわけです。

 自転車を漕ぐことで発する熱量は「速度の3乗に比例する」もので、そして、体から奪われる熱量は「速度の1乗未満に比例する」となると、自転車を漕ぐ速度を速くしていくと体内で発生する熱を放熱できなくなり・体がアッチッチになってしまう=全然涼しくない…というわけです。

 自転車は「漕げば漕ぐほど涼しくなるわけではない」ようです。暑い日に、近くの街まで自転車を漕ぐ溶きはゆっくりゆっくり漕いでみるのが、一番暑くならない自転車の漕ぎ方かもしれません。

「自転車を漕ぐ」と涼しくなる?それとも暑くなる!? 






2012-08-15[n年前へ]

暑い夏はペダルを漕いで汗をかけ!? 

 「n年前へ」から、『実は体育会系な 「京都市鴨川源流」を廻る「理系風デート」』 

 たとえば上に貼り付けた地図のように、橋と橋の間の距離や、橋と橋の間の標高差が書かれている「ケーニヒスベルクの橋渡り問題」も見かけます。こんな問題(地図)を見かけたならば、「一筆書きをすることができるか」という問題だけでなく、「移動に必要な体力を最小化するにはどうしたら良いか」という(いわゆる)制約条件付き最小化問題を解いてみるのも興味深いかもしれません。…そして、その最小化問題を解いたなら、地図から解き明かした答えを確かめるべく、ひたすら鴨川の川縁(かわべり)を汗をかきつつ走り回るのです。

2012-08-16[n年前へ]

「ビールの法則」で「白ビールの酵母・小麦タンパクの量」を見極めろ!? 

 地ビールの中でも、酵母や小麦蛋白が濾過されずにたくさん残っているビールは、それらの成分が(ビールを照らす)光を散乱させるため、白く淡い色に見えます。 だから、ヘーフェヴァイツェンビール(小麦酵母ビール)などは白っぽく色が淡く見えます。ビール内部で光散乱が生じると「白く見える」のは、照明光(白色光)がビール内部に入った後、ビール内部で光散乱が生じることにより、、ビール内の色素による光吸収が十分行われる前に(すなわちビールの色に色づく前に)、光がビール外部に出てしまうからです。 そういった光は白色のほぼ照明光そのままですから、ビールが白っぽく見えてしまいます。

 そんなヴァイツェンビールを見ながら、「ビールの色を見ただけで、酵母や小麦蛋白の量を判断できるか?」という話になりました。そこで、簡単な計算から「(単位体積あたりの)酵母や小麦蛋白の量」を求めるための方法を調べてみることにします。

 まず、簡単な思考実験から、ビール自体に色が着いていなければ、ビールの色からだけでは「(単位体積あたりの)酵母や小麦蛋白の量」は決められないだろう、ということがわかります。 なぜなら、ビールが完全に透明だったとしたら(全波長で光吸収がゼロだっとしたら)、ビール内部に酵母や小麦蛋白がたくさんあって、そこで光散乱がどれだけ生じようとビールから出てくる光は照明校と同じ白色光になってしまいます。ビールグラスの中(やグラスの向こうの景色)は不透明になりますが、「色」自体は完全に照明光と同じになってしまいます。

 また、ビールの色(たとえばビール内を光が単位長さだけ通過する際に行われる光吸収の量)がわかっていなければ、「ビールの色からだけでは光散乱の量(=酵母や小麦蛋白の量)」はわからないだろう、ということもわかります。 なぜなら、たとえば、濃黄色のビールに酵母と小麦蛋白がたくさん入っていて、光散乱が多く生じることにより「薄黄色のビール」になったとしても、その薄黄色が「元から薄黄色のビールで、光散乱が全然ない(酵母も小麦蛋白も全然入っていない)」のか「濃黄色のビールが光散乱により薄黄色に見えている」のかを区別することができないからです。

 

 ということは、「ビール自体の色がわかっている」という条件下でのみ、「ビールの見た目の色(白っぽさ)から、光散乱の量(=酵母や小麦蛋白の量)を求めることができる」という目処を付けた上で、その上で簡単な解析計算をしてみることにします。

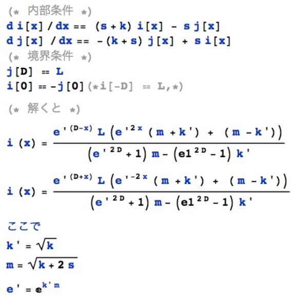
 まず、ビールグラス近傍にX座標をとり、グラス中央を原点とします。また、グラスの高さ方向・グラス回転方向はは無視します。 この時、x軸の正の向きに向かう光量をj(x)、X軸の負の向きに向かう光量をi(x)として、ビールグラスの界面での反射を無視すると、次のような連立微分方程式を書くことができます。 この連立微分方程式の内容はとても単純で「媒質中を移動する光は、進むに連れて光吸収されたり・散乱し進行方向を変えたりする」ということを書いたものです。

 連立微分方程式中で使われている変数、sは単位長あたりの(波長毎の)光散乱率で、kは単位長あたりの(波長毎の)光吸収率です。また、Dはビールグラスの半径で、Lは外部環境光です。

 この連立微分方程式は(連立微分方程式とはいっても)i(x)とj(x)は原点対称の「実は同じもの」ですから、結局のところ、普通の微分方程式です。そうした媒質内部の現象を書いた微分方程式に、ビールグラス境界で「外部からの環境光 L が入ってくる」という境界条件を付けて(あるいは、対称性から原点でi(x)とj(x)が等しいといった境界条件を付けて)、微分方程式を解いてやると、上に書いたようなi(x)とj(x)を表す式が導かれます。

 j(x)はビールグラスの右側に向かう(波長毎の)光量を示し、i(x)はビールグラスの左側に向かう(波長毎の)光量ですから、ビールグラスを外側から見た時の(光の波長毎の)光量はi(グラス半径)=j(-グラス半径)です。 すると、上で求められた解は、「ビールグラスを外側から見た時の(任意波長の)光量=(波長毎の)ビール自体の光吸収率k と (波長毎の)ビール自体の光散乱率 sの関数」という形になっていますから、(波長毎の)ビール自体の光吸収率kがわかっているならば、ビールの「色(任意波長の光量)」を観察すれば、「(光を散乱させている)酵母や小麦蛋白の量」がわかる、ということになるわけです。

 たとえば、右のグラフは(向かって)ビール・グラス右向きに向かう光量=j(x)を、微分方程式を解いた結果から示した一例です(横軸は位置, 縦軸は光量)。向かって左側はグラス外側から環境光が入射するため(右側に向かう)光量が多く、グラス右側では(主にグラス右側から入射した光が)散乱により方向を変えて・右側に進む光が一定量あることなどがわかります。

 しかし、私たちがビール・グラスを眺める時、「色」を感じることはできても、「任意波長の光量」といったものはあまり意識しないものです。そこで、次は、こうした媒質中の光吸収を計算する基本式「ランベルト・ベールの法則(Beer-Lambert law)」を使って、ビールの(見た目の)色と酵母や小麦蛋白の量)を具体的・体感的に眺めてみることにしようと思います。

 …何しろ、ランベルト・ベールの”ベール”はBeerですから、短く言ってしまえば「ビールの法則」です。「ビールの法則」なのですから、「白ビールの酵母・小麦タンパクの量」の見極めのために使わないと、何だかもったいないですよね?

「ビールの法則」で「白ビールの酵母・小麦タンパクの量」を見極めろ!?「ビールの法則」で「白ビールの酵母・小麦タンパクの量」を見極めろ!?「ビールの法則」で「白ビールの酵母・小麦タンパクの量」を見極めろ!?「ビールの法則」で「白ビールの酵母・小麦タンパクの量」を見極めろ!?「ビールの法則」で「白ビールの酵母・小麦タンパクの量」を見極めろ!?「ビールの法則」で「白ビールの酵母・小麦タンパクの量」を見極めろ!? 






2012-08-17[n年前へ]

夕暮に輝く「夏雲の尻尾(シッポ)」 

 湿気て暑い夕暮れ時、「シッポを垂らした雲」たちが空に浮かんでいました。日没を過ぎて、地平線の無効から夕日が雲の尻尾を赤く照らしています。

 雲から伸びるシッポ(尻尾)は「尾流雲」と呼ばれ、雲から降り落ちる雪や雨です (参考:「雲のシッポ」の中に入ってみた。, 雲のシッポは「雲からこぼれ落ちる雪」)。 雲からこぼれ落ちていく雪や雨が、地上に届く前に空気中で蒸発し、シッポのように見えるのです。

 まだまだ蒸し暑い真夏日の夕方、空に浮かぶ雲が垂らす赤白い尻尾は、それは「雨」なんだろうか?それとも「雪」なんだろうか?と考え・想像すると、何だか少し涼しくなってくる…わけもなく、昔ながらの蒸し暑い「日本の夏」を感じる夏の夕暮れ、です。

夏雲のシッポは「天空の吹雪」か「真夏のシャワー」か






2012-08-18[n年前へ]

続「ビールの法則」で「白ビールの酵母・小麦タンパクの量」を見極めろ!? 

 「ビールの法則」で「白ビールの酵母・小麦タンパクの量」を見極めろ!?で、「酵母や小麦蛋白が濾過されずにたくさん残っているヴァイツェンビールの色から、酵母や小麦蛋白の量を見極めるための研究」を始めました。具体的には、「ビールの法則」ならぬ「ランバート・ベアの法則」と「ビールに溶け込んでいる色素の色(分光吸収率)」を使って、ビールグラスを外から眺めた色とビールに溶け込むことなく濁っている成分の量を結びつける式を導き出してみました。

 そこで今回は、導き出した「ヴァイツェンビールの濁り成分量と外見色の関係式」から、濁り成分量を変えた時(つまり濾過されずグラス中に残っている酵母や小麦蛋白の量が違う時)、ビールの色がどう違って見えるかを眺めてみることにします。

 まず、ビールに溶け込んでいる(光を吸収しても散乱はさせない)成分の分光吸収率が右のような吸収スペクトルだとしてみます。「ビールといえば黄色」ですから、ほぼ黄色以外の波長の光を吸収するような特性です(グラフの黒領域が吸収される量を示しています)。

 そんな「黄色いビール」の中に含まれる濁り成分量を「全然入ってない~たくさん入ってる」まで9段階の条件下で、「ヴァイツェンビールの濁り成分量と外見色の関係式」を使って「ビールグラスの外見色(スペクトル)を算出してみると次のようになります。左上が濁り成分が全然入っていない状態で、右下がたくさん濁り成分がグラスの中に入っている状態です。

 「濁り成分」が全く入っていない条件では、青色や赤色の波長の光は多く吸収され、黄色近くの波長の光だけをビール外部に放出している=綺麗な黄色に見えていることがわかります。

 それに対して、濁り成分が増えてくると「ビール内部で光が散乱され・青色や赤色が吸収されないままビール外部に出ていくために、どの波長の光も結構強く残っている=白色に見える」ことが見てとれます。そして、その濁り成分の量と「ビールの白っぽさ」が対応していることも、(当たり前ですが)確認することができます(参考までにCIE Lab空間での色座標推移も右に貼り付けておきます)。

 こんな「ビール研究」を(ビールを飲みながら)していると、スマフォ・カメラでビールグラスを撮影するだけで、ビールの酵母・小麦タンパクの量…ありとあらゆるビールの特性を教えてくれるスマフォ・アプリなんていうものも、きっと近い将来には登場しているに違いない、という気がしてきます。


 作成した計算ノートブックはここに置いておきます。このノートブックは、以前作成した「色」を計算するためのMathematica用ライブラリの最新版です。また、このライブラリには三次元構造の中で反射・屈折・散乱を行う「光」のスペクトル変化過程を計算するための機能も入っているので、その機能を使って計算・解析してみるのも面白いかもしれません。

続「ビールの法則」で「白ビールの酵母・小麦タンパクの量」を見極めろ!?続「ビールの法則」で「白ビールの酵母・小麦タンパクの量」を見極めろ!?続「ビールの法則」で「白ビールの酵母・小麦タンパクの量」を見極めろ!?






2012-08-19[n年前へ]

紫外線は「雲の合間から日が照らす時」が一番強烈だ! 

 『紫外線は「雲の合間から日が照らす時」が一番強烈だ!』を書きました。

 雲で反射・散乱する紫外線の量はどのくらいになるかは、簡単な概算をしてみればわかります。 もしも雲がどの方向にも等しい量で(等方的に)紫外線を反射・散乱しているとすると、あなたに空にある雲全体から降り注ぐ紫外線量は、「雲が透過させる紫外線量」と同じになります。
 その結果、太陽から直接あなたに向かう(晴天時を基準にすると)100パーセントの紫外線に加え、周りの雲で反射・散乱された紫外線分の数十パーセントが上乗せされ、晴れた日より数割以上強い紫外線量になるのです。

2012-08-20[n年前へ]

「よいこ」のための「夏休みの自由学習ネタ帳」 

 8月も終わりに近づきました。つまり、それは「よいこの夏休みが終わりに近づいている」ということです。よいこは、きっと夏休みを遊び尽くしているはずですから、「夏休みの自由研究(宿題)」には手を付けているわけはなく、きっとこれから「何をしようか」と考えているに違いありません。そこで、よいこのために、よいこたちのお母さん・お父さんたちのために、今からでも間に合う「夏休みの自由研究ネタ帳 presented by hirax.net」をピックアップしてみました。

 『染料インクで白い「鉄道花(ヒメジョン)」をカラフルに染めてみよう?
』  まずは、「100円ショップで売っているインクジェット用染料インク(もちろん100円ナリ)で、花の色を自由自在に染めてみよう」という実験です。100円ショップの「詰め替え染料インク」を買って、近くの摘んだ花を生ければ「カラフルな花束(ブーケ)」ができあがります。この実験は、実験過程を「デジタルカメラの微速度 撮影モード(Time Laps動画モード)で撮影してみると、とっても面白いと思います。



 『水風船をライターの炎であぶると何が起こるか考える!?
 「炎の上に水が入ったゴム風船をかざしてみるとどうなるでしょう?」…(火花や高熱微粉を振りまいたりする花火を使ったりするのでなければ)意外なことに、ゴム風船は割れません。

 この実験は、風船に温度計を突き刺して、(風船の中の)水の温度を計る実験をしてみると面白いと思います。(さらに、よいこたちのお母さん・お父さんに「裏付け計算」をしてもらうと、すごく面白いかもしれないですね)

 『チューインガムで誰でもできる「物理法則に反する!?超自然現象!?」』軽く折ったチューインガムを軽く回転させると、なぜかガムは勝手にブルブル震え始め、そしていきなり逆回転しだす!?…目の前、どこにでもある普通のものでも、こんな風に不思議に見えるものを作り出すことができます。そんな実験をしてみれば、奥深い物理の世界に誘(いざな)われるかもしれません。

 『柿ピーを振ると上にピーナツが集まってくる!?

 柿ピーをグラスのような容器に入れ、隙間が十分にある状態で振動を与えると、ブラジル・ナッツ現象が生じます。…柿ピーを振ると、何と柿ピーの上側にはピーナツが集まってくるのです。
 大きな粒子と小さな粒子を混ぜて、さらに振動を与えると、多くの場合、大きな粒子は上に浮かび・小さな粒子は下に沈んでいくという現象がおきます。大きな粒子の方が小さな粒子より重かったとしても、そんな現象が生じます。液体の場合には、重いものが下に沈み・軽いものが上に浮かんでくるのですが、粉体の場合だと、小さなものが下に沈み・大きなものが上に浮かんでくるのです。

 『京町家模型で確かめる打ち水の科学
 お母さんやお父さんが、最近何だか「電気代」だとか難しいコトバを交わしている。…そんな難しいことはわからない…という、よいこ(そして、よいこのお母さんとお父さん)のための「打ち水」の実験ネタがこちらです。打ち水をすると風が吹く!?風を吹かせるための条件とは…!? そのナゾを解くのはきみだ!(お母さんとお父さんのための参考ネタ:打ち水の要件定義書「居住スペースの両側に庭がある」



2012-08-21[n年前へ]

「今の瞬間の微分」と「あらゆる時間の積分」と 

 「たった30年」くらい前、I/O誌で連載状態だった芸夢狂人さん。
 「20年近くも前のことですし、もうしゃべっちゃってもいいでしょう」「秀丸シリーズのシェアウエアによる売り上げは(ピークとなる1996年~98年当時には)最高で1億5000万円くらい」
 「十年前」2002年には何をしていたでしょう? …”夏の夜空を見上げれば、あの頃流れてた電波の行方が、かつて眺めた番組が見えてくるような気がします

2002年7月21日『あの頃流れた電波の行方
 「10年後」「20年後」…何をしているかなんて、皆目見当がつかない。どうやら、今を常に積分し続けたその先に、10年後や20年後があるらしい。
 今、時を遡ってあの時の自分に会えるなら、絶対後悔しないから もっとやれ、とハッパをかけるだろう。

 でも、人生の到達点はそれまでの積分なんだから、同じアドバイスが どの時点でも有効なはずだ。やりたいことはたくさんある。それなら、 絶対後悔しないから、貪欲に、遠慮せずにやればいい。

知っておきたかったこと」@Island Life

 今、この瞬間にやりたいこと・進みたい向きを指し示すことが、「今の瞬間の気持ちや行動の微分ベクトル」で、それらを重ね続けた「あらゆる時間の積分」が、どうやら未来や人生を作るらしい。

2012-08-22[n年前へ]

自分で作る「セカイメガネ」 

 ①視線方向を計測し ②視界映像も取り込んで ③外部センサデータも使いつつ ④外部モロモロを制御しよう!という(自分用)メガネを作り始めています。そんなものを作ろうと思ったきっかけは、今は慶応SFCにいる増井さんの言葉です。

 昔は、近眼のニンゲンは生きていくことができなかった。「近眼」というものは、そういうものだった。  しかし、メガネという道具が作り出された今は、メガネが日常に溢れる普通のものになった今は、近眼というものを気にする人はいなくなった。近眼なんて「病気」は消えた。
 こんな言葉を聞いて、自分の目の不自由なことを補うメガネを作りたくなったのです。

 右上に貼り付けた「自分用メガネ」…メガネ中央部にUSB経由でPCに動画をリアルタイム出力できるカメラが備え付けられていて、赤外光照射&視線方向を(赤外線で)計測するためのカメラ(これもUSB経由でPCに動画をリアルタイム出力可能なもの)も備え付けたので視線と視界を同時に計測できるカメラメガネです。

 たとえば、右に貼り付けたのは『AKB 48 を観る(自分の)視線』です。そして、下に貼り付けたのは、メガネの中央部に埋め込まれた小型カメラ+ミニ魚眼レンズを使って取り込んでいる、リアルタイム撮影している「視界映像」です。どんなものを眺めていて、どんなものに顔を向け、そして(そんな風に眺めた景色中の)どの部分に目を向けたか(惹かれたか)を映し出し・計測してしまう・・・のです。

 というわけで、「視界」と「視線」を同時に把握する、すなわち、どんなセカイを眺め・どんな一角に目を(そして心を)奪われるかを調べ上げる視界・視線の同時撮影カメラを作っています。自分の視界(世界)や視線を白昼のもとにさらしてしまうこの「セカイメガネ」…結構恐ろしい最終兵器かもしれません。

2012-08-23[n年前へ]

大人のための自由研究 「7色/虹色のビール」を作ってみよう!? 

 広い世界には、色んな美味しいビールがあるようです。濁り成分がたくさん入ったヴァイツェンビール(白ビール)や、微細な泡が特徴の英国ギネスの黒ビール、そして、北海道は網走の「赤ビール(はまなす)」「緑ビール(知床)」「青ビール(流氷)」…毎日1種類ずつ飲んだとしても、すべてのビールを飲むことができないくらい、個性豊かなビールがたくさんあります。

 せめて見た目だけでも「色んなビール」を飲んだ気になってみようと…今日は「色々・カラフルな7色/虹色のビール」を作ってみることにしました。やり方は、いたって単純実直で(つまりはちょっと反則な作り方)、本来は黄色く見えるビールに「食品用の着色料」をドボドボ突っ込めば、作りたい色のビールができるはず…というレシピです。

 まずは、製菓に行き(手に入る限りの)すべての食用着色料を買ってきます。そして次は、酒屋に行き発泡酒(着色料が思ったより高く、研究予算が尽きたのです)を買いました。そして、試験管に「黄色いビール(本当は発泡酒…以下省略)+着色料」を注ぎ込み、ビールの泡が消えてしまうことも恐れずに・ひたすらビールと着色料をかき混ぜます。そういう風に、世界各国にあるだろう「色んな色のビール」を作ってみたのが下の写真、まさに虹色/7色のビールです。

 ちなみに、一番左にあるのは「完全黒体な黒ビール」です。つまり、黒色(食用)着色料をドボドボ…ビールに混ぜ込んでみた「これぞ黒ビール」です。

 ところで、「黄色い色を持つビールに、他の色を混ぜ合わせても、たとえば青色を混ぜ合わせても”青色”にはならないんじゃないの?」と思われる方もいると思います。「透明なビールに青色着色料を入れるのでないと、青いビールを作り出すことはできないのでは?」と思う人もいるはずです。確かに、黄色いビールに青色を混ぜても、完全な青色にはならないかもしれません。

 しかし、思い出してみてください。新幹線のトイレ、黄色いオシッコに、それを流す出す青い水流が混ぜ合わさった時…その液体の色はどんな色でしょうか?そう「青色」ですね。薄い黄色の液体に他のどぎつい色をドボドボ突っ込んだ結果は、強烈に他色の液体ができあがる、というわけです。

 …という「発想の素」を思い起こしつつ、(自分で作った)青色のビールを飲んでいると、何だか新幹線のトイレ洗浄用液体を飲んでいるような微妙なキモチになったりします。そしてまた、「完全黒体な真っ黒ビール」の「黒」は(世界のどこかにあるだろう美味しい)黒ビールとは全然別物の「色」、まったく別の飲み物だったのです。

大人のための自由研究 「7色/虹色のビール」を作ってみよう!?大人のための自由研究 「7色/虹色のビール」を作ってみよう!?大人のための自由研究 「7色/虹色のビール」を作ってみよう!?大人のための自由研究 「7色/虹色のビール」を作ってみよう!?大人のための自由研究 「7色/虹色のビール」を作ってみよう!?大人のための自由研究 「7色/虹色のビール」を作ってみよう!?大人のための自由研究 「7色/虹色のビール」を作ってみよう!?大人のための自由研究 「7色/虹色のビール」を作ってみよう!?






2012-08-24[n年前へ]

大人のための自由研究 「ビールの色」を調べてみよう!? 

 「大人のための自由研究 「7色/虹色のビール」を作ってみよう!?」でビールに色んな食用色素を混ぜ込んで、彩り鮮やかなカラフル・ビールを作ってみました。今日は「ビールの色」について調べてみることにします。

 「ビールの色」を決めるやりかたのひとつにAmerican Society of Brewing Chemistsが決めた430nmの波長の光がビール中を通過する間に「どのくらい吸収されるか」で表すというものがあります。430nmということは「青色」ですから、それはつまり、「青色に相当する波長の光をどれだけ吸収するか」でビールの色を表すというわけです。

 「青色の波長光が吸収された光はどのように見えるか」というと、それは「黄色」です。(色処理ライブラリを使って)「青色の波長光が吸収された光スペクトル」(左下図)をRGBに変換し、そのRGB色でビールジョッキ状の円筒形を描いてみると右下のようになります。こう眺めてみると、それは確かにビールの色にも見えてきます。

 

 処理コード:

beerColor=(whiteLight[#]*(1-yellowFilter[#]))&;
spectorPlot[beerColor] (* スペクトル図示 *)
rgb = spectorFitting[ beerColor,
  redLight, greenLight, blueLight ];(* RGB近似 *)
Graphics3D[{RGBColor[rgb], Opacity[0.6], Cylinder[]}]

大人のための自由研究 「ビールの色」を調べてみよう!?大人のための自由研究 「ビールの色」を調べてみよう!?






2012-08-26[n年前へ]

ガリバー旅行記に由来する「有名なコンピュータ用語」とは!? 

 『ガリバー旅行記に由来する「有名なコンピュータ用語」とは!?』を書きました。

 このガリバー旅行記で登場した造語「ビッグ・エンディアン(大きい端っこ派)とリトル・エンディアン(小さい方の端っこ派)」が、いつしか、コンピュータの「(多バイト)データの並べ順」を表す言葉として使われるようになりました。コンピュータ内部の「動き方」を表す用語、ビッグ・エンディアンとリトル・エンディアンは、ガリバー旅行記に由来していた、というわけです。


参考:
ゆで卵、これが「ベストな剥き方」だ!? 

2012-08-27[n年前へ]

「カラービール」を飲める店 

 色んな色の7色ビールを(ビールに着色料を混ぜ合わせることで)作ってみたわけですが、(カラフルビールを探して)ググってみると、浜松「海鮮居酒屋えびかにたこいか」に行けば、「彩り鮮やかなカラービール」を飲むことができるようです。

 その「カラー・ビール」のメニューを眺めるれば、「赤(ザクロ味)」「青(ブルーハワイ味)」「緑(ミント味)」「 黄(マンゴー味)」「紫(巨峰味)」「茶(チョコ味」…と書いてあります。これは一体どんな「ビール」なんでしょうか?

2012-08-28[n年前へ]

「飛行機が飛んでいる場所」がわかるフライトレコーダー地球儀を作ってみよう!? 

 空を飛んでいる飛行機の位置を、地図上で眺めることができるサイトがいくつもあります。それは、たとえばPlane Finderとか、 flightradar24 といったサイトです。

 しかし、そんなサイトに表示される地球はメルカトル図法の長方形の地球です。そして、長方形メルカトルな地球の上で航空機の飛行ルートを眺めると、何だかとても「遠回り」や「大きな大きな道草」をしているように見えてしまいます。そこで、メルカトルで長方形な地球の上を飛ぶ飛行機を、丸い球の上にマッピングして眺めてみました。

 「飛行機が飛んでいる場所」がわかるフライトレコーダー地球儀を作ってみると、大陸間を飛んでいる飛行機たちは、みんな出発地から目的地へ向かい、丸い地球の上を、対流圏の下・地上から遙か上の1万メートルの空を、ただひたすら一直線に飛んでいることがわかります。

 丸い地球を平面のディスプレイ上で眺めるのは、少し無理があります。「丸いものはまるいまま」「平らなものは平らなままで眺める」れば、それらは実に自然に見えるものだ…それは当たり前のことですが、けれど少し新鮮で「そうなんだよね」と新鮮に感じます。

「飛行機が飛んでいる場所」がわかるフライトレコーダー地球儀






2012-08-31[n年前へ]

50メートルの崖から落ちても「中国市民が作ったノアの方舟」に入っていれば大丈夫! 

 「網博週報」という(週刊で発行される)新聞を毎週眺めています。散歩道沿いにある中華料理屋の店頭に、いつも「ご自由にお持ち下さい」という張り紙とともに重ね置いてあって、その網博週報に書かれている「中国視点からの各種記事」を読むと、限りなく新鮮で面白いからです。

 2012年8月24日 星期五 発行分に「中国一般市民がノアの方舟製作 人民を救えるのか?」という記事が載っていました。2年間かけて製作した「ノアの方舟」の実証実験を、今年8月8日に行ったところ・見事成功した!という時事紹介です。

 中国義浙江省烏市の承認・楊宗福さんが2年間をかけて「ノアの方舟」を製作した。発生するだろう地球の災難に対応するためだ。
 8月8日、楊さんが自作した「ノアの方舟」に入り、ほとんど垂直の50メートルの山の斜面から池に落ちて、人々に自分の発明成果を披露した。

 この直径4メートルのオレンジ色の大きな丸いボールは、重さは6トン、水面で33トンを積載可能。
 最も外側の層には、振幅減衰保護層を設計した。4層の3.5ミリメートルの鋼板で…300個の高強度の衝突吸収スプリングおよび75個のエアバックを設置。これらの装置は350トン程度の衝突を解消可能だ。
 トラックを時速100kmでノアの方舟にぶつけても、中にいた人は全然振動を感じなかった。

 このノアの方舟は直径4メートルの球形をしています。丸い「ノアの方舟」が崖から回り転がり落ちるとき、あるいはトラックに激突される時「中の人」は一体どんな状態になるんだろう?とか、回り落ちる方舟やトラックと衝突する方舟に、ぜひとも日本が誇るリアクション芸人である出川哲郎さんを搭乗させて欲しい!とか、あんなこんなな想像をたくましくさせてしまいます。と、そんな感じのオモシロ記事を読むことができたりするので、「網博週報」は実に面白いのです。

  …ところで、「水面で33トンを積載可能」とありますが、直径4メートルの球が得ることができる水中での浮力は最大でもキッカリ・ポッキリ33トンになります(この数字が同じなのは偶然じゃないですよね、きっと)。ノアの方舟自体の(完全防備のための)重量を考えるなら、もしも33トンを積載したりしたら、水面に浮上することは(洪水の水が地表から去って行くまで)未来永劫できそうにない、ですね。


 というわけで、『中国市民が作った「ノアの方舟」は「水に浮かばない船」だった!?』を書きました。

 つまり、「方舟(はこぶね)」という名前に反して、このノアの方舟は、水底にただひたすらに沈む金属球体と化してしまうのです。

50メートルの崖から落ちても「中国市民が作ったノアの方舟」に入っていれば大丈夫!50メートルの崖から落ちても「中国市民が作ったノアの方舟」に入っていれば大丈夫!